近日,河南大学黄河文明与可持续发展研究中心吴乐英副教授(通讯作者)、赵义义(第一作者,系中心2025届硕士毕业生,现就读于中国地质大学(武汉))、张红娟副教授及苗长虹教授等共同撰写的题为“The influencing factors and scenario simulation of embodied carbon emissions in manufacturing trade in the Yellow River Basin: An analysis from the perspective of technological effects”的论文在能源领域国际顶级期刊《Energy》(SCI一区/中科院一区TOP,IF=9.4)上正式发表。

作为中国重要的能源基地与工业枢纽,黄河流域在保障国家能源与工业安全中具有不可替代的战略地位。然而,产值与环境代价的失衡正成为该区域高质量发展的关键掣肘:数据显示,黄河流域制造业以仅占全国27.1%的GDP贡献,背负了超31.7%的碳排放压力。在“双循环”战略持续深化的背景下,这种区域间的资源环境错位在频繁的省际贸易中被显著放大。随着资本与产品的跨区流动,省际贸易隐含碳(EEPT)的大规模转移,不仅模糊了生产端与消费端的碳责任边界,更引发了深思——在复杂的贸易网络中,究竟是谁在为生产支付碳排放的“隐性代价”,又是谁在享受跨区域消费带来的福利红利?
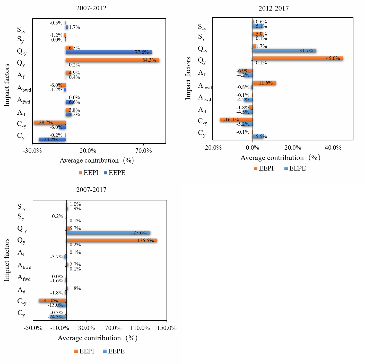
本研究打破了传统宏观视角的局限,将制造业精细化拆解为四个技术层级(低、中低、中高及高技术产业)。通过构建整合“碳排放技术”与“中间生产技术”的综合分析框架,利用多区域投入产出模型(MRIO)与结构分解分析(SDA),系统剖析了技术进步对黄河流域省际贸易隐含碳(EEPT)的时空演变影响。
研究结果表明:(1)黄河流域制造业的EEPT显著增加,呈现出明显的“东高西低”空间格局。由于技术相对落后,中低技术产业贡献了超过90%的EEPT。


(2)碳排放技术效应和中间生产技术效应显著抑制了EEPT的增长,有效地缓解了需求增长对碳排放的驱动作用。




(3)情景模拟结果显示,与区域贸易相比,全国贸易在碳减排方面具有明显优势,高技术产业对全国贸易的依赖程度尤为突出。在2007年至2017年期间,制造业通过技术进步累计实现减排3.504亿吨二氧化碳,其中,中低技术产业的贡献率高达96.3%。预测显示,在技术进步情景下,与基准情景相比,中国碳排放预计在2025年、2030年和2035年将分别下降36.4%、52.1%和62.9%。




政策建议
为应对制造业贸易隐含碳的挑战,推动黄河流域生态保护与高质量发展,本研究提出以下核心政策建议:
1. 分区施策,协同管理:根据各省份碳排放强度与产业特征,实施差异化的减排策略。高碳省份(如山西、河南)应重点推动能源密集型传统产业(如钢铁、化工)的绿色升级,严格控制煤炭消费,并部署碳捕集(CCUS)等关键技术。同时,需加快建设统一的碳排放权交易市场,以市场机制促进碳资源优化配置和跨区域协同减排。
2. 技改双驱,分类扶持:技术进步与结构调整是转型关键。对高技术/中高技术产业,加大研发补贴与税收优惠,鼓励其在新能源、新材料等领域创新,提升减排效率。对低技术/中低技术产业,设立专项改造基金,支持节能设备更新与余热回收等技术改造。同时,建立全流域生态补偿机制,为上游欠发达地区产业升级提供支持,并通过绿色技能培训等社会政策,保障转型期工人权益。
3. 优化贸易与能源结构:实施基于碳强度的差异化政策,对高碳出口产品征税或设限,引导低碳产品出口;对高碳进口设置门槛,优化国内需求结构。在内蒙古、宁夏等资源富集区,大力发展“风光储”一体化清洁能源基地,并配套智能电网。同时,积极引进现代服务业与高端制造业,培育低碳产业集群,提升整体能源效率。
通过上述“分区管理、技术赋能、结构优化”的组合策略,可为黄河流域乃至全国实现“双碳”目标提供切实可行的路径。
原文请见:
Zhao, Y., Wu, L., Shi, B., Zhang, H., Miao, C. (2026). The influencing factors and scenario simulation of embodied carbon emissions in manufacturing trade in the Yellow River Basin: An analysis from the perspective of technological effects. Energy, 342, 139619.
https://doi.org/10.1016/j.energy.2025.139619